Предмет: Алгебра,
автор: zimfira8
Докажите ПОЖАААЛУЙСТА "д" и "ж" в 63 номере!!! уже полчаса пытаюсь хоть что-то сделать, и ничего не получается:(
Буду очень благодарна. ^^
Приложения:
Ответы
Автор ответа:
0
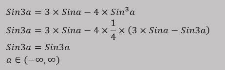
Странные у вас примеры, мой ход решения в прикрепленных картинках.
Приложения:
Похожие вопросы
Предмет: История,
автор: mixa271006
Предмет: Литература,
автор: steve147
Предмет: История,
автор: Egorxeo
Предмет: Математика,
автор: Asta09
Предмет: Геометрия,
автор: Angel565656