Предмет: Алгебра,
автор: Аноним
Помогите пожалуйста))) Заранее спасибо !
Приложения:
Ответы
Автор ответа:
0
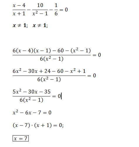
Решение внутри
----------------------------------------------
----------------------------------------------
Приложения:
Автор ответа:
0
ты калькулятором пользовался ?
Автор ответа:
0
Cможешь ещё 4 уравнения решить ?
Автор ответа:
0
Нет
Автор ответа:
0
Я сам решал
Похожие вопросы
Предмет: Математика,
автор: annasurygina359
Предмет: Математика,
автор: Shaaman
Предмет: Литература,
автор: Аноним
Предмет: Математика,
автор: Olesinka040703