Предмет: Физика,
автор: Аноним
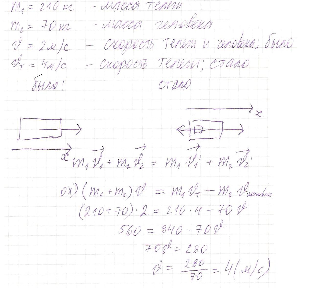
С тележки массой 210 кг, движущейся горизонтально со скоростью 2м/с, в противоположную сторону прыгает человек массой 70 кг. Какова скорость человека при прыжке, если скорость тележки стала равна 4м/с.
Ответы
Автор ответа:
0
надеюсь понятно будет...
Приложения:
Похожие вопросы
Предмет: Математика,
автор: GolovolomkaTV
Предмет: Русский язык,
автор: Аноним
Предмет: Қазақ тiлi,
автор: Аноним
Предмет: Алгебра,
автор: AlyaPak
Предмет: Математика,
автор: Юлечка08