Предмет: Алгебра,
автор: medness1
помогите решить , хотя бы половину
Приложения:
Ответы
Автор ответа:
0
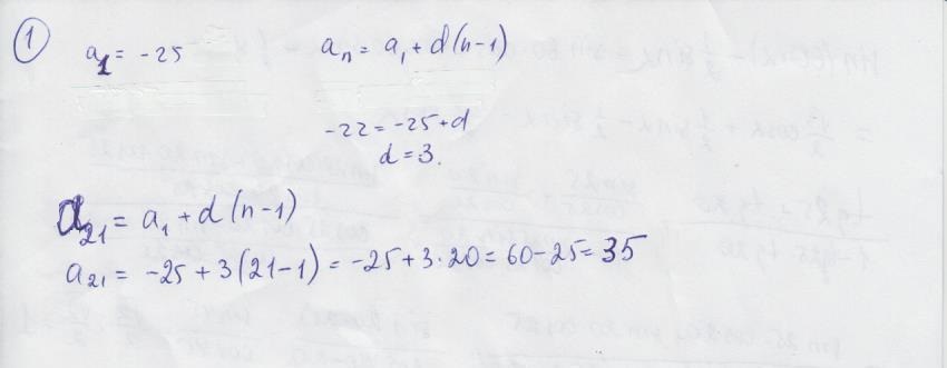
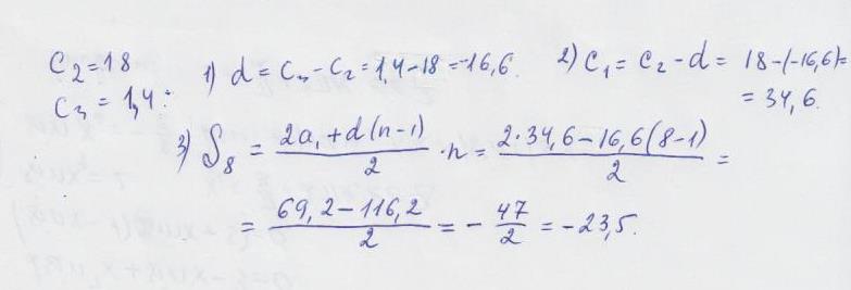
нужно просто подставить в формулу:
первое и второе в приложении
первое и второе в приложении
Приложения:
Похожие вопросы
Предмет: Физика,
автор: vladausakova226
Предмет: Информатика,
автор: nironov2020
Предмет: Английский язык,
автор: vikivikivikiviktoria
Предмет: Литература,
автор: Anita0192837465