Предмет: Математика,
автор: RiverSong15
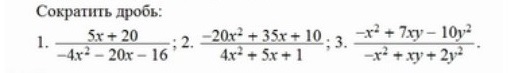
Помогите решить, пожалуйста
Там с дискриминантами нужно разложить, вроде бы
Приложения:
Ответы
Автор ответа:
0
используется формула разложения квадратного трехчлена :
ах*2 + bx+ c = a (x-x1) (x - x2) где х1 и х2 корни квадратного уравнения
ах*2 + bx+ c = a (x-x1) (x - x2) где х1 и х2 корни квадратного уравнения
Похожие вопросы
Предмет: География,
автор: Аноним
Предмет: Русский язык,
автор: aleksandrdebelov
Предмет: Физика,
автор: Аноним
Предмет: Химия,
автор: Comper
Предмет: Алгебра,
автор: Kerridan