Предмет: Физика,
автор: bombakz
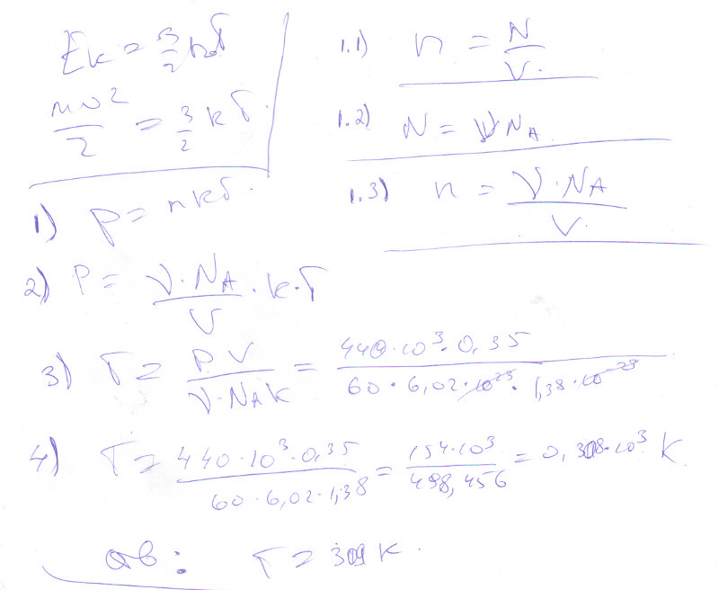
В баллоне с объемом 0,35 м^3 находится 60 молей газа. Если давление в баллоне равно 440кПа, то температура газа состовляет
1)233К
2)275К
3)309
4)323К
5)322К
С решением пожалуйста!
Ответы
Автор ответа:
0
Немного поздно, но решил ;)
Приложения:
Автор ответа:
0
В самом верхнем левом углу есть две формулы(Ек и под ней) они не нужны, я забыл их зачеркнуть.
Автор ответа:
0
Спасибо большое вам!
Автор ответа:
0
Всегда пожалуйста, обращайтесь ;)
Похожие вопросы
Предмет: Геометрия,
автор: aishaaktau2018
Предмет: Русский язык,
автор: ajdarerdoshan
Предмет: История,
автор: alipushkin
Предмет: Алгебра,
автор: Djulitka
Предмет: Литература,
автор: marjona2004