Предмет: Алгебра,
автор: gar9899100
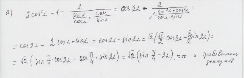
Доказать и упростить ,№3 и №4
Приложения:
Ответы
Автор ответа:
0
решение 3(а) и 4 в приложении:
(3(б)- не получается)
(3(б)- не получается)
Приложения:
Автор ответа:
0
Большое спасибо)
Похожие вопросы
Предмет: Алгебра,
автор: Аноним
Предмет: Физика,
автор: yuliafedkovna
Предмет: Українська мова,
автор: SoV3n04ek
Предмет: Физика,
автор: Игорь1887