Предмет: Алгебра,
автор: kirill000000
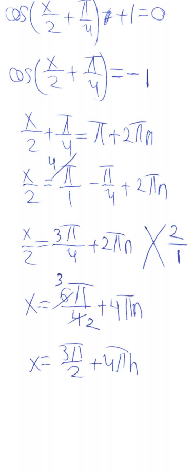
решите уравнение
cos(x/2+pi/4)+1=0
Ответы
Автор ответа:
0
Я думаю, у тебя есть ответ, чтобы сверить, если что-то не так. Вроде бы всё правильно, так на всякий случай.
Приложения:
Похожие вопросы
Предмет: Математика,
автор: nuna65
Предмет: Литература,
автор: SmOksss
Предмет: Английский язык,
автор: gggfdf
Предмет: Алгебра,
автор: simalil
Предмет: Алгебра,
автор: Semgamen