Предмет: Алгебра, автор: Массюня

СРОЧНО! Помогите, решите систему уравнений:
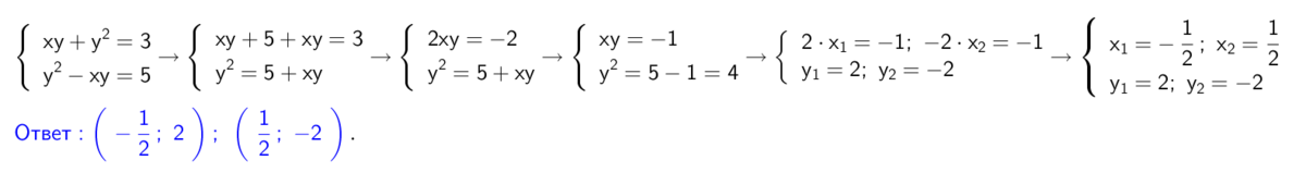
xy+y^2=3
y^2-xy=5

Ответы

Автор ответа: SkyBy
0
Смотрите решение в прикреплённом файле.
Приложения:
Похожие вопросы
Предмет: Українська література, автор: 0g0g0g
Гулак-Артемовський «Рибалка»
3. Виконайте тестові завдання

1. Епіграфом до поезії письменник дібрав слова з твору:

а) Д. Байрона;

б) О. Пушкіна;

в) Й. Гете;

г) Г. Гейне.

2. Парубок, сидячи на узбережжі моря з вудкою, запрошував ловитися:

а) «линька, карасика, щуку»;

б) «великих, маленьких»;

в) «смачненьких і гарненьких»;

г) «молоденьких, солоденьких для милого серденька».

3. Поет на початку твору зазначив, що його герой:

а) мав сумний настрій;

б) був задоволений результатами рибалки;

в) виявляв інтерес до підводного життя;

г) жив бідно і тому щодня рибалив, щоб прогодувати свою родину.

4. Дівчинонька, що пливла морем:

а) розчісувала косу;

б) кликала на допомогу;

в) посміхалась;

г) була схожою на фею.

5. За що героїня дорікала Рибалці? Бо він:

а) був необачним і байдужим до всього;

б) нівечив її рід;

в) не звертав на неї уваги;

г) мав неохайний вигляд.

6. На прикладі якої риби Дівчинонька намагалася продемонструвати гарне життя в морі?

а) щуки;

б) карася;

в) лина;

г) сома.

7. Чого бажала отримати русалка від парубка?

а) Душу;

б) розум і кмітливість;

в) серце;

г) обдарованість і геніальність.

8. Веселенькими з води, за словами Дівчиноньки, виходили:

а) раки;

б) зорі;

в) дощові хмари;

г) сонечко і місяць.

9. Героїня пропонує парубку:

а) подружитися;

б) жити як брат із сестрою;

в) одружитися;

г) викуп, аби він не ловив більше риби.

10. Блиск води русалка порівнює із:

а) льодом;

б) золотом і сріблом;

в) склом;

г) дзеркалом.

11. О нічній порі під водою можна було спостерігати:

а) блиск зірок;

б) хороводи риб;

в) бій щук;

г) полювання акул.

12. Наприкінці твору Рибалка:

а) не виявив бажання замінити земне життя на підводне;

б) погодився на пропозицію Дівчиноньки;

) перелякався жіночої істоти з води і втік додому;

г) вирішив захищати мешканців моря від браконьєрів.
Предмет: Қазақ тiлi, автор: e8720684