Предмет: Алгебра,
автор: kvsycheva
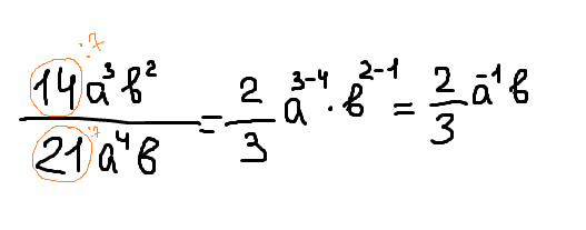
Как правильно сократить дробь 14a3b2/21a4b
Ответы
Автор ответа:
0
14 и 21 можно сократить на 7,т.е. делим 14:7 и 21:7, тогда в числителе получаем 2,а в знаменателе 3.
Приложения:
Автор ответа:
0
14а³b² = 2*7*a³*b*b = 2b
21a⁴b 3*7*a³*a*b 3a
21a⁴b 3*7*a³*a*b 3a
Приложения:
Автор ответа:
0
спасибо!
Похожие вопросы
Предмет: Физика,
автор: tog11298
Предмет: Другие предметы,
автор: vetal16012005
Предмет: Физика,
автор: sayonara4183
Предмет: История,
автор: trekotusha01
Предмет: Физика,
автор: djsinica1