Предмет: Алгебра,
автор: q89q
Ребят, мучаюсь уже какой день, никак не могу решить.
Помогите...
Приложения:
Ответы
Автор ответа:
0
Смотрите решение в прикреплённом файле.
Приложения:
Автор ответа:
0
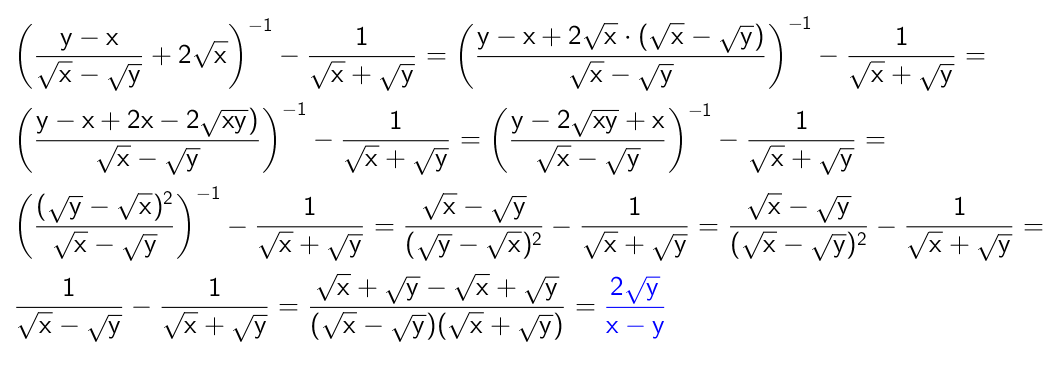
Решение:
{(у-х)/(√х-√у) + 2√х}^-1 - 1/(√x+√y)=
Чтобы было понятней начну решать с выражения в скобках.
Выражение в скобках необходимо привести к общему знаменателю (√х-√у)
[{у-х+(√х-√у)*2√х}/(√x-√y)]^-1={(y-x+2x-2√xy)/ (√x-√y)}^-1={(y+x-2√xy)/(√x-√y)}^-1=
(√x-√y)/(y+x-2√xy=(√x-√y)/(√x-√y)^2=1/(√x-√y)
Теперь получившее выражение сложим со вторым выражением,
1/(√x-√y) - (1 /(√x+√y) Приведём к общему знаменателю: (√х-√у)(√х+√у):
{(√х+√у)*1 - (√х-√у)*1}/ (x-y)=(√х+√у-√х+√у)/(х-у)=2√у /(х-у)
Ответ: 2√у /(х-у)
{(у-х)/(√х-√у) + 2√х}^-1 - 1/(√x+√y)=
Чтобы было понятней начну решать с выражения в скобках.
Выражение в скобках необходимо привести к общему знаменателю (√х-√у)
[{у-х+(√х-√у)*2√х}/(√x-√y)]^-1={(y-x+2x-2√xy)/ (√x-√y)}^-1={(y+x-2√xy)/(√x-√y)}^-1=
(√x-√y)/(y+x-2√xy=(√x-√y)/(√x-√y)^2=1/(√x-√y)
Теперь получившее выражение сложим со вторым выражением,
1/(√x-√y) - (1 /(√x+√y) Приведём к общему знаменателю: (√х-√у)(√х+√у):
{(√х+√у)*1 - (√х-√у)*1}/ (x-y)=(√х+√у-√х+√у)/(х-у)=2√у /(х-у)
Ответ: 2√у /(х-у)
Приложения:
Похожие вопросы
Предмет: Английский язык,
автор: DiSem0
Предмет: Английский язык,
автор: dilmuhamedbegaly
Предмет: Другие предметы,
автор: davronovazamat624
Предмет: Математика,
автор: diana105
Предмет: Информатика,
автор: oonskij123