Предмет: Математика,
автор: anpopovmga
1039 решите только быстро
Приложения:
Ответы
Автор ответа:
0
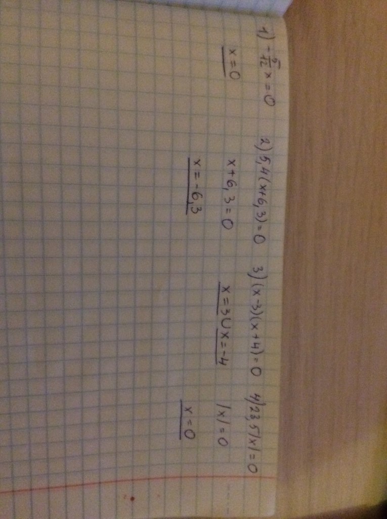
решение в фотографии
Приложения:
Автор ответа:
0
1) х=0
2) х=-6,3
3)х=3, х=-4
4) х=0
2) х=-6,3
3)х=3, х=-4
4) х=0
Приложения:
Похожие вопросы
Предмет: Қазақ тiлi,
автор: gggasdqwer
Предмет: Английский язык,
автор: woodkideldar
Предмет: Українська мова,
автор: kushtaana2
Предмет: Алгебра,
автор: alinaki