Предмет: Математика,
автор: sergkorsun
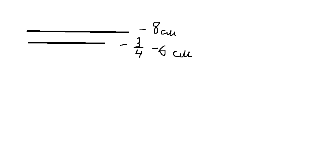
начертить отрезок длиной 8см и покажи дугой 3/4 этого отрезка
Ответы
Автор ответа:
0
8/4=2
2х3=6 вот так както
2х3=6 вот так както
Автор ответа:
0
Вот снизу изображение!!!
Приложения:
Похожие вопросы
Предмет: Литература,
автор: alekseybulaev08
Предмет: Алгебра,
автор: zivertanna06
Предмет: Математика,
автор: eolga8871
Предмет: Алгебра,
автор: ekler4ik