Предмет: Алгебра,
автор: pro100Nika2013
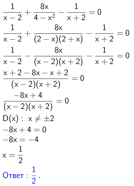
Решите уравнение. Смотрите
вложение.
Приложения:
Ответы
Автор ответа:
0
Смотрите решение в прикреплённом файле.
Приложения:
Похожие вопросы
Предмет: Русский язык,
автор: casmereGnom841
Предмет: Геометрия,
автор: Ramilyakharki
Предмет: Литература,
автор: sofiazhorova10
Предмет: Обществознание,
автор: Аноним
Предмет: Алгебра,
автор: lilenty