Предмет: Алгебра,
автор: stalker10972
Помогите решить уравнения:
Приложения:
Ответы
Автор ответа:
0
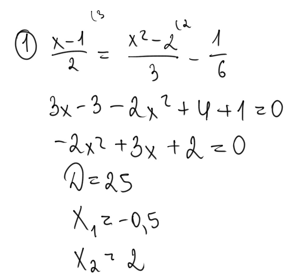
1) 
2)
Решение в прикреплении:
2)
Решение в прикреплении:
Приложения:
Похожие вопросы
Предмет: Химия,
автор: Аноним
Предмет: Русский язык,
автор: zharkynaiakbalaeva
Предмет: Математика,
автор: asimahmot
Предмет: Алгебра,
автор: irinka345