Предмет: Алгебра,
автор: 98bstn98
Решите пожалуйста упражнение 650
Приложения:
Ответы
Автор ответа:
0
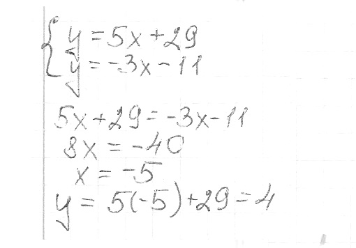
№650
а) точка пересечения данных графиков (-5; 4)
решение во вложении
а) точка пересечения данных графиков (-5; 4)
решение во вложении
Приложения:
Автор ответа:
0
спасибо большое
Похожие вопросы
Предмет: Русский язык,
автор: ykul067
Предмет: Математика,
автор: tarasevicviktoria29
Предмет: Математика,
автор: angelinaurkina974
Предмет: Математика,
автор: masha197909
Предмет: Математика,
автор: akjhfycf83