Предмет: Физика,
автор: vipsmile666
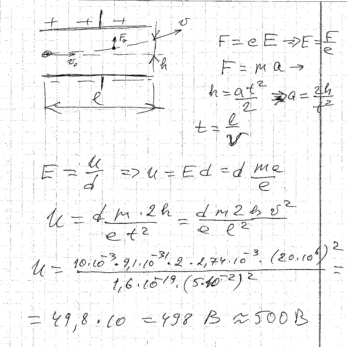
1.6 Электрон влетает в плоский конденсатор параллельно пластинам со скоростью V. Расстояние между платинами конденсатора d, длина пластин l. На пластины подано постоянное напряжение U. К моменту вылета из конденсатора электрон смещается от начального направления на расстояние h под действием силы напряжения. Найти неизвестные величины:
V= 20*10^6 м/c
d= 10мм
l= 5см
U- ?B
h= 2,74мм
Ответы
Автор ответа:
0
смотри картинку.............
Приложения:
Похожие вопросы
Предмет: Алгебра,
автор: boynextdoor1
Предмет: Қазақ тiлi,
автор: blinovaalyona82
Предмет: Математика,
автор: SHURA1941
Предмет: Математика,
автор: iragood
Предмет: Литература,
автор: хХхНаСтЯхХх