Предмет: Математика, автор: dakkordik

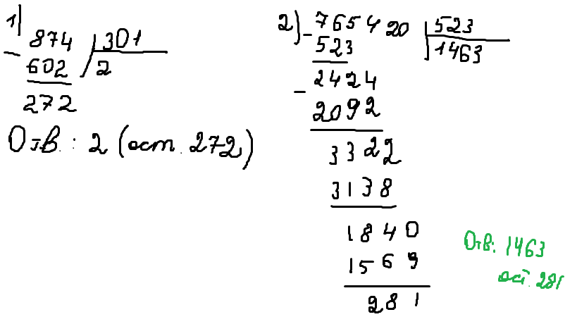
выполните деление с остатком 1) 874: 301 2)765420:523 только столбиком

Ответы

Автор ответа: zeros95
0
........................
Приложения:
Автор ответа: dakkordik
0
спасибо
Похожие вопросы
Предмет: Русский язык, автор: rufina0009
1. Укажите слово с ударением на втором слоге:
1. Каталог
2. Жемчуг
3. Диспансер
4. Пломбировать
5. Танцовщица

2. Вставьте соединительную гласную О:
1. Дальн…восточный
2. Чест...любие
3. Кра…ведение
4. Больш…крылый
5. Кон…водство

3. Укажите слово, в котором больше звуков, чем букв:
1. Преподаватель
2. Объявлять
3. Семья
4. Деньги
5. Ярмарка

4. Укажите, в каком слове звуков больше, чем букв:
1. Фюзеляж
2. Бурый
3. Ярко
4. Пятый
5. Тёмный

5. Укажите слово с ударением на первом слоге
1. Кабинет
2. Скальпель
3. Инъекция
4. Карандаш
5. Анатомия

6. Раздел науки о языке, в котором изучается правописание слов и их значимых частей:
1. Морфология
2. Стилистика
3. Орфография
4. Словообразование
5. Синтаксис и пунктуация

7. Слова прикоснуться, волнистый, росточек образованы от слов:
1. Прикосновение, волноваться, вырасти
2. Прикасание, волновать, рост
3. Касаться, волнистость, расти
4. Касаться, волнение, растение
5. Коснуться, волна, росток

8. Слово, образованное суффиксальным способом:
1. Облачность
2. Рассчитать
3. Переход
4. Беспорядок
5. Расставить


9. Слова приуралье, подорожник, подоконник образованы способом:
1. Суффиксальным
2. Бессуффиксным
3. Приставочно-суффиксальным
4. Приставочным
5. Сложением

10. Реферат – это один из жанров стиля
1. Официально-делового
2. Художественного
3. Разговорного
4. Публицистического
5. Научного
Предмет: Химия, автор: svetlaya0502987