Предмет: Математика,
автор: 20Ангелина02
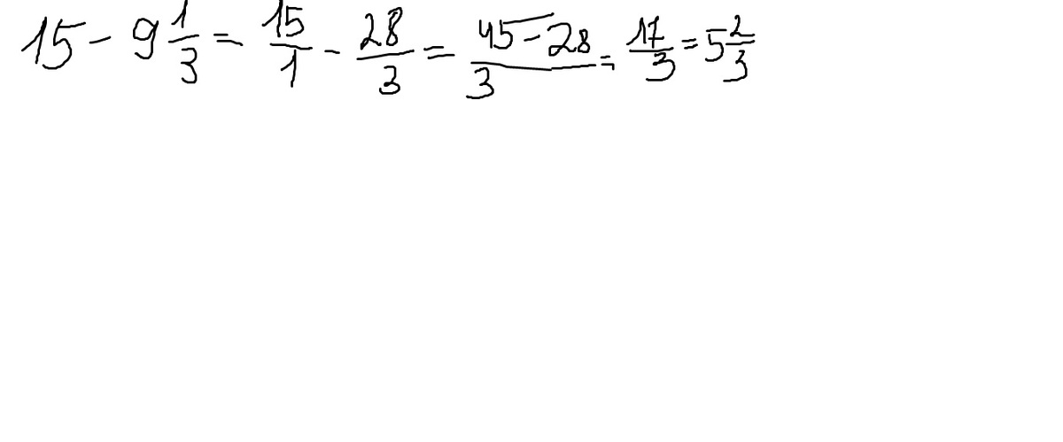
Сколько будет 15 отнять девять целых одна третия?
Ответы
Автор ответа:
0
Решение и ответ прикреплены
Приложения:
Автор ответа:
0
ответ 5 целых две третьих
Приложения:
Похожие вопросы
Предмет: Русский язык,
автор: Аноним
Предмет: Биология,
автор: Аноним
Предмет: Физика,
автор: akunamatata888
Предмет: География,
автор: 553506