Предмет: Алгебра,
автор: nastyusha163
Помогите пожалуйста решить:
Приложения:
nastyusha163:
Умоляю, помогите пожалуйста, очень надо, не как не могу решить
Ответы
Автор ответа:
1
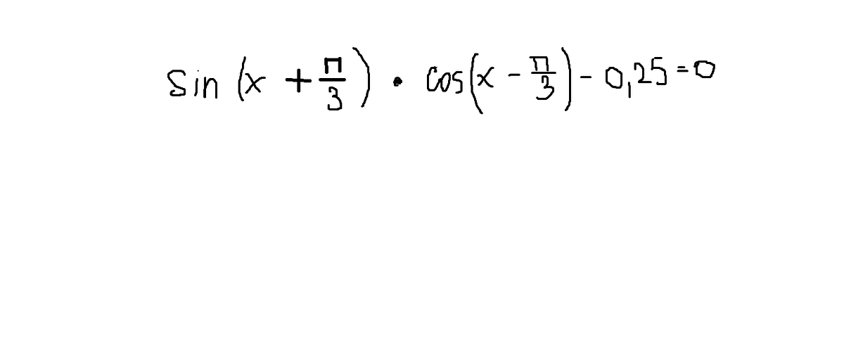
sin(x + π/3)*cos(x - π/3) = 1/4
1/2[(sin(x + π/3 + x - π/3) + sin(x + π/3 - x + π/3)] = 1/4
1/2[sin2x + sin2π/3)] = 1/4
sin2x + √3/2 = 1/2
sin2x = 1/2 - √3/2
sin2x = (1 - √3)/2
2x = (-1)^n*arcsin((1 - √3)/2) + 2πk, k∈Z
x = [(-1)^n*arcsin((1 - √3)/2)]/2 + πk, k∈Z
1/2[(sin(x + π/3 + x - π/3) + sin(x + π/3 - x + π/3)] = 1/4
1/2[sin2x + sin2π/3)] = 1/4
sin2x + √3/2 = 1/2
sin2x = 1/2 - √3/2
sin2x = (1 - √3)/2
2x = (-1)^n*arcsin((1 - √3)/2) + 2πk, k∈Z
x = [(-1)^n*arcsin((1 - √3)/2)]/2 + πk, k∈Z
Похожие вопросы
Предмет: Русский язык,
автор: ralifruslan
Предмет: Английский язык,
автор: Аноним
Предмет: Русский язык,
автор: Алёнушка112
Предмет: Другие предметы,
автор: sagitivachulpan024
Предмет: Химия,
автор: mashagadys