Предмет: Алгебра,
автор: 2150564
Пожалуйста, помогите УПРОСТИТЬ!
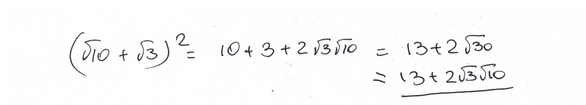
(√10+√3)^2
Ответы
Автор ответа:
0
Оставь лучше подчеркнутый вариант)
Приложения:
Автор ответа:
0
Приложения:
Похожие вопросы
Предмет: Қазақ тiлi,
автор: mutashev888
Предмет: Физика,
автор: Lizo4ka20072010
Предмет: Алгебра,
автор: LAGEP
Предмет: Алгебра,
автор: serega8952