Предмет: Математика,
автор: milaska12345678
РЕШИТЕ УРАВНЕНИЯ :
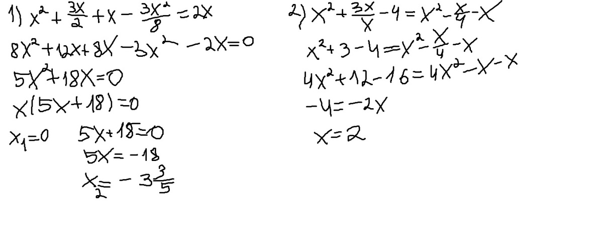
1)x^2+3x/2+x-3x^2/8=2x 2)x^2+3x/x-4=x^2-x/4-x 3)2x+3/x+2=3x+2/x
Ответы
Автор ответа:
0
Решения и ответы прикреплены.
Приложения:
Похожие вопросы
Предмет: Математика,
автор: Freezepayl
Предмет: Математика,
автор: Аноним
Предмет: Математика,
автор: shirint2004
Предмет: Химия,
автор: Алёна598
Предмет: Алгебра,
автор: fizoman