Предмет: Алгебра,
автор: Аноним
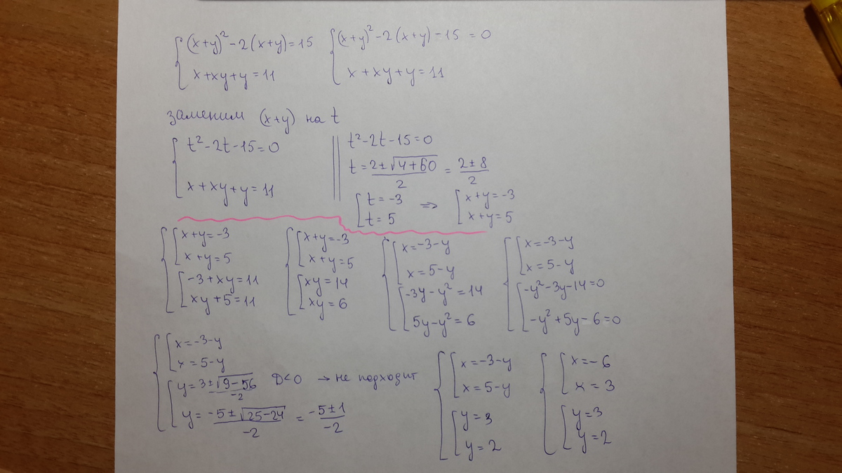
как решать { (х+у) в квадрате -2(х+у)=15 { х+ху+у=11?
Ответы
Автор ответа:
0
Решение на фото. Лови
Приложения:
Похожие вопросы
Предмет: Физика,
автор: vladalekseenko37
Предмет: Алгебра,
автор: fullhip69
Предмет: Математика,
автор: shpuriknurik
Предмет: Литература,
автор: pa2003
Предмет: Математика,
автор: Аноним