Предмет: Математика,
автор: hjvufhuvr
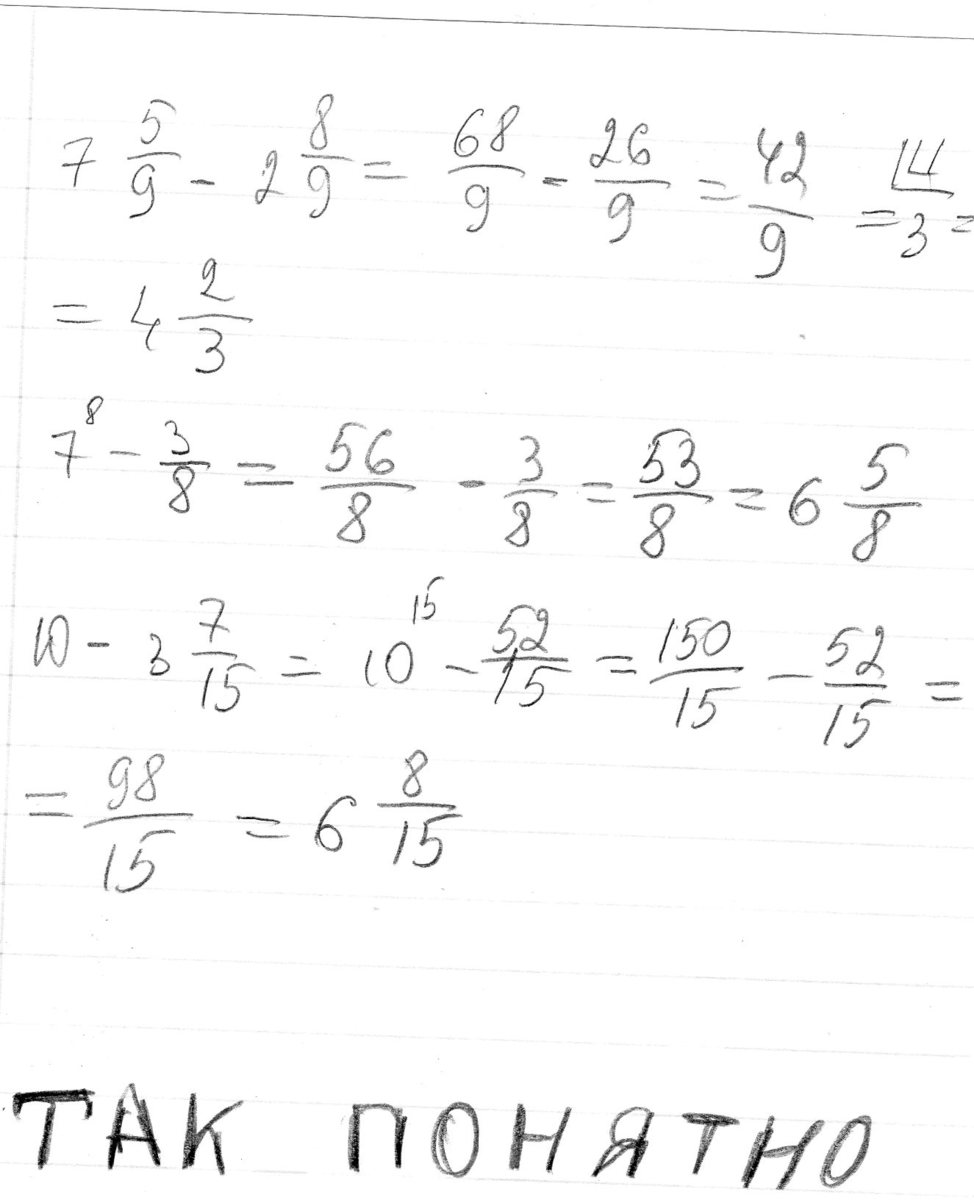
помогите с математикой , решите - 7 5/9 - 2 8/9 , 7 - 3/8 , 10 - 3 7/15 . помогите пожалуйста , буду благодарен!
Ответы
Автор ответа:
0
7 5/9 - 2 8/9 = 68/9 - 26/9 = (68 - 26)/9 = 42/9 = 14/3 = 4 2/3
7 - 3/8 =(7 * 8 - 3)/8 = (56 - 3)/8 = 53/8 = 6 5/8
10 - 3 7/15 = 10 - 52/15 =(10 * 15 - 52 )/15 = (150 - 52)/15 = 98/15 = 6 8/15
7 - 3/8 =(7 * 8 - 3)/8 = (56 - 3)/8 = 53/8 = 6 5/8
10 - 3 7/15 = 10 - 52/15 =(10 * 15 - 52 )/15 = (150 - 52)/15 = 98/15 = 6 8/15
Приложения:
Автор ответа:
0
да я ниче непонял !
Автор ответа:
0
во первых , 7 5/9 - 2 8/9 = 5 */9
Похожие вопросы
Предмет: Қазақ тiлi,
автор: saparovakalia
Предмет: Қазақ тiлi,
автор: krolikbuzakov
Предмет: Биология,
автор: zakupovaldi2019
Предмет: Математика,
автор: Даринок
Предмет: Алгебра,
автор: piNokia