Предмет: Алгебра,
автор: larkina16081982
12 разделить на 5 220 прибавить 14
Ответы
Автор ответа:
0
12 : 5= 110
220 +14= 720
220 +14= 720
Автор ответа:
0
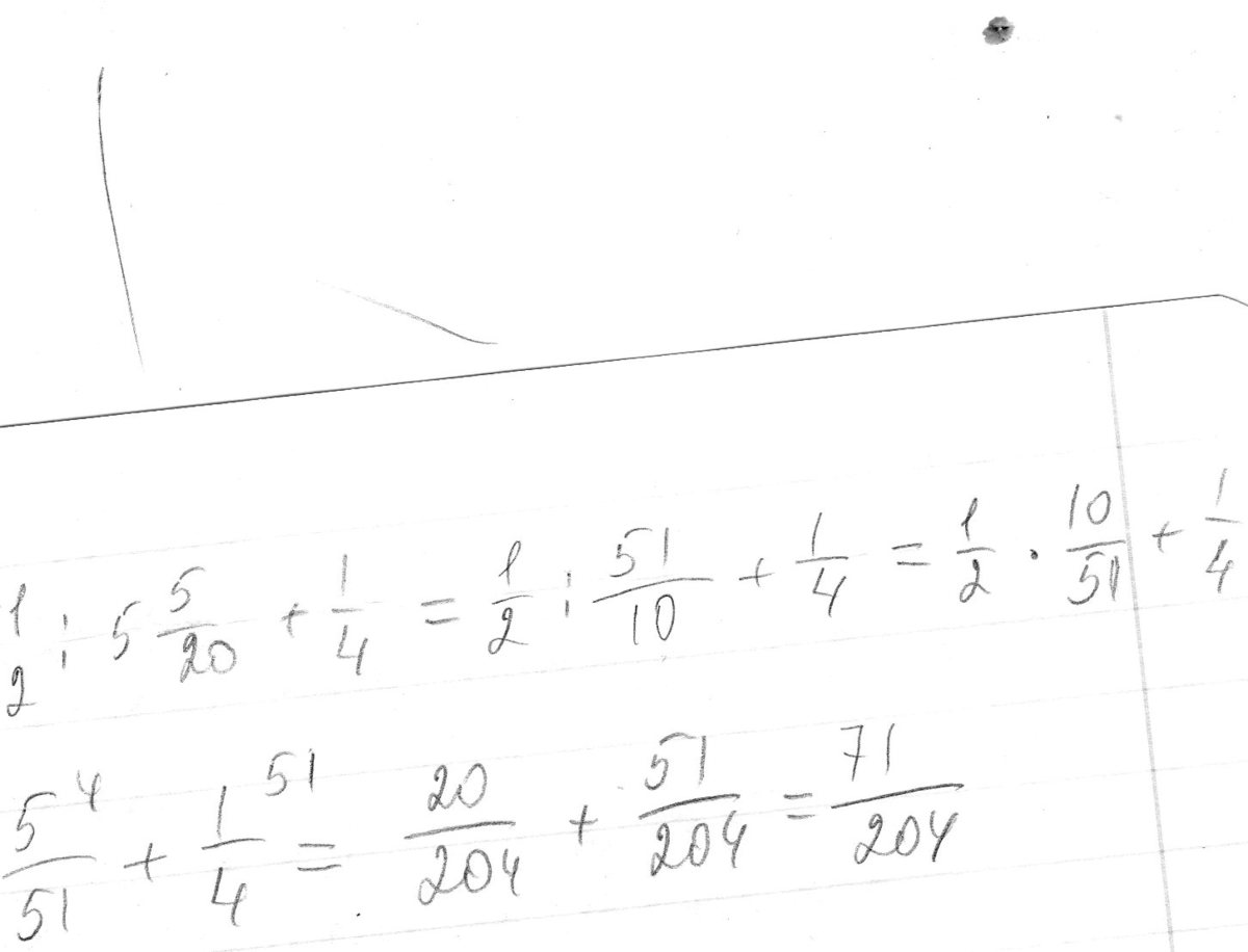
смотри решение во вложении
Приложения:
Похожие вопросы
Предмет: Геометрия,
автор: sidewa8433
Предмет: Қазақ тiлi,
автор: Аноним
Предмет: Математика,
автор: aminasaken45
Предмет: Математика,
автор: nastru
Предмет: Математика,
автор: Ксюхам