Предмет: Алгебра,
автор: 2Единорожка2
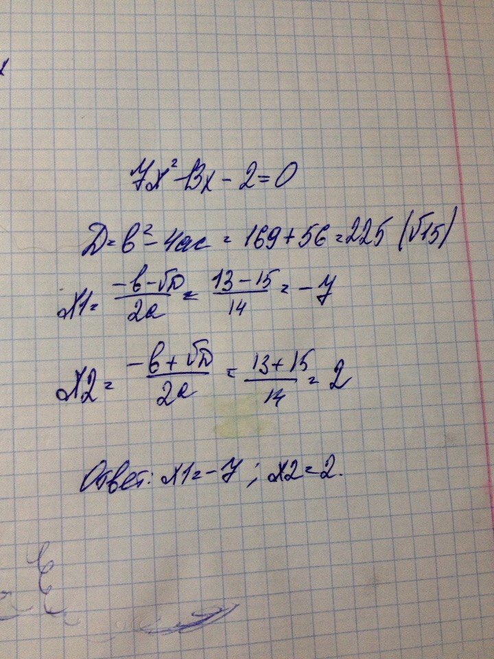
Решите уравнение
7x2-2-13x=0
Ответы
Автор ответа:
0
через дискриминант нужно
Приложения:
Похожие вопросы
Предмет: Литература,
автор: uliaborinska
Предмет: Литература,
автор: sett98
Предмет: Математика,
автор: Аноним
Предмет: География,
автор: тимбум
Предмет: Математика,
автор: Аноним