Предмет: Алгебра, автор: Дарина0898

Помогите пожалуйста только всё подробно решить! Можете решать на листочке а потом сфоткать !) Заранее спасибо!

Приложения:

Ответы

Автор ответа: Artem112
0

надеюсь понятно будет....

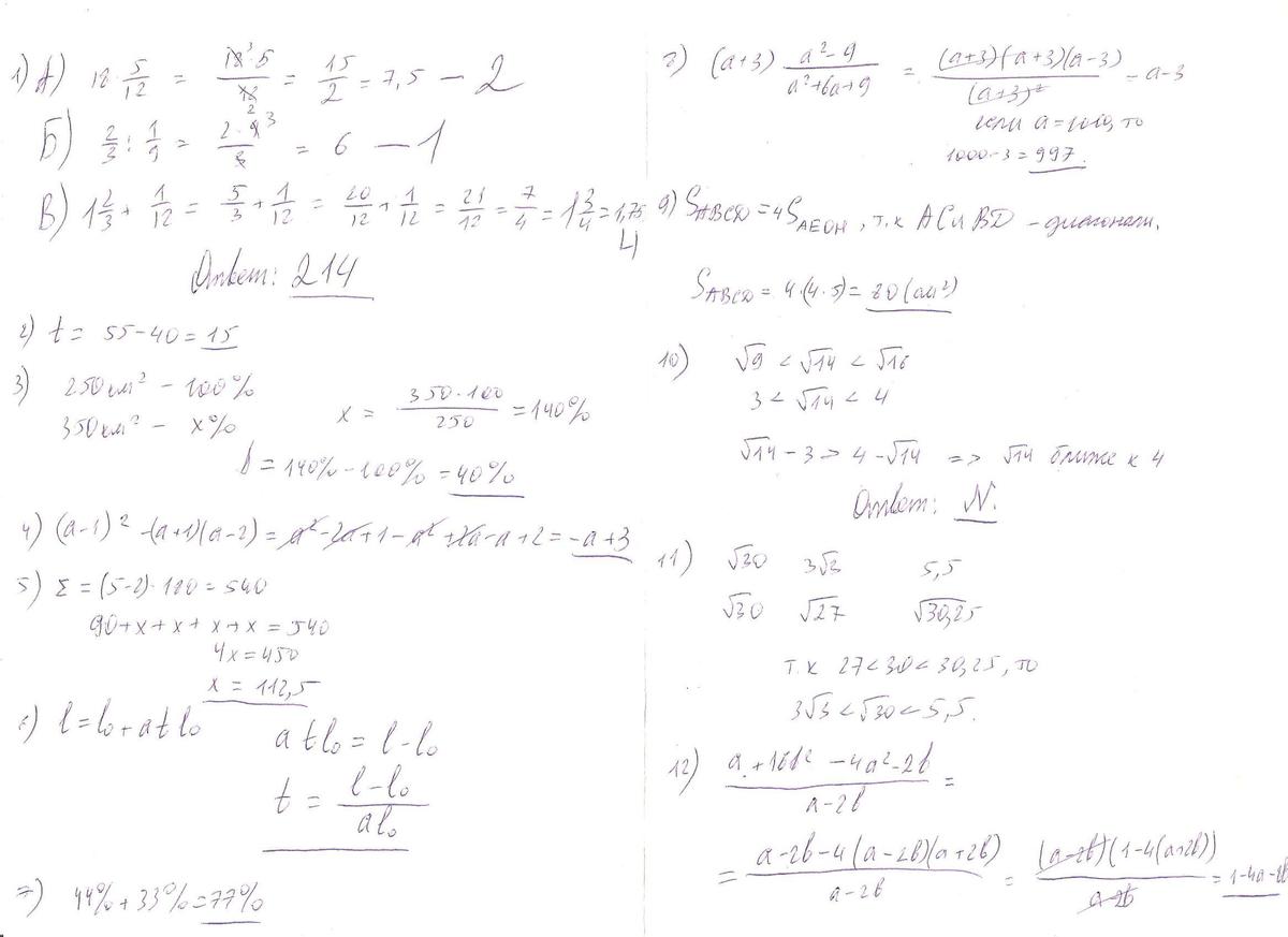
Приложения:
Автор ответа: rokfeller007
0

1)A-2;Б-1;В-4

2)55-15=40

3)250 -100%

350-X%

 

X=140

140-100=40%

4)a^2-2a+1-a^2=2a-a+2=3-a

5)360-90=270

270:4=67,5 -все остальные(их 4 всего)

6)l=l_0+atl_0\l-l_0=atl_0\t=frac{l-l_0}{al_0}

7)44%+33%=77%

8)(a+3)*frac{a^2-9}{a^2+6a+9}=(a+3)*frac{(a+3)(a-3)}{(a+3)^2}=a-3=1000-3=997

9)HO=4

OE=5

Sahoe=4*5=20

Sabcd=20*4=80

10)N

11)sqrt{30}

 

3sqrt{3}=sqrt{27}

 

5,5=sqrt{30,25}

 

Ответ:5,5;sqrt{30};3sqrt{3}

12)

frac{a+16b^2-4a^2-2b}{a-2b}=frac{a-2b+4(2b+a)(2b-a)}{a-2b}=frac{2b-a-4(2b+a)(2b-a)}{2b-a}=

 

frac{64}{5}x^{-8-(-7)}=frac{64}{5}x^{-1}=frac{64}{5x}=frac{64}{5*2}=6,4

 

13)

frac{(4x)^3*x^{-11}}{x^{-12}*5x^5}=frac{64x^{3-11}}{5x^{-12+5}}=frac{64x^{-8}}{5x^{-7}}=

 

frac{(2b-a)(1-4(2b+a))}{2b-a}=1-8b-4a

14)

1. Четырехугольник ABCD — прямоугольник

Е, F, К и H— середины его сторон соответственно (точка Е на стороне АВ, точка А на стороне ВС, точка К на стороне CD, точка L на стороне DA).

Четырехугольник MNKL — параллелограмм (так как MВ=СК и ВN=NC). Значит MN = NK, где MN и NK - стороны параллелограмма. Значит, MNKL — ромб.

2. Пусть четырехугольник ABCD является ромбом и M, N, К, L — середины его сторон.

3. Четырехугольник MNKL — параллелограмм. Его стороны параллельны диагоналям ромба (как средние линии), а они перпендикулярны, значит, углы четырехугольника MNKL — прямые. Значит, четырехугольник MNKL — прямоугольник.

 

Приложения:
Похожие вопросы
Предмет: Русский язык, автор: Аноним