Предмет: Алгебра, автор: Аноним

Помогите плиз!Срочно!!Смотрите вложение

 

Приложения:

Ответы

Автор ответа: DominikUser3
0

решение в файле))))))))))))))))))))

Приложения:
Автор ответа: dtnth
0

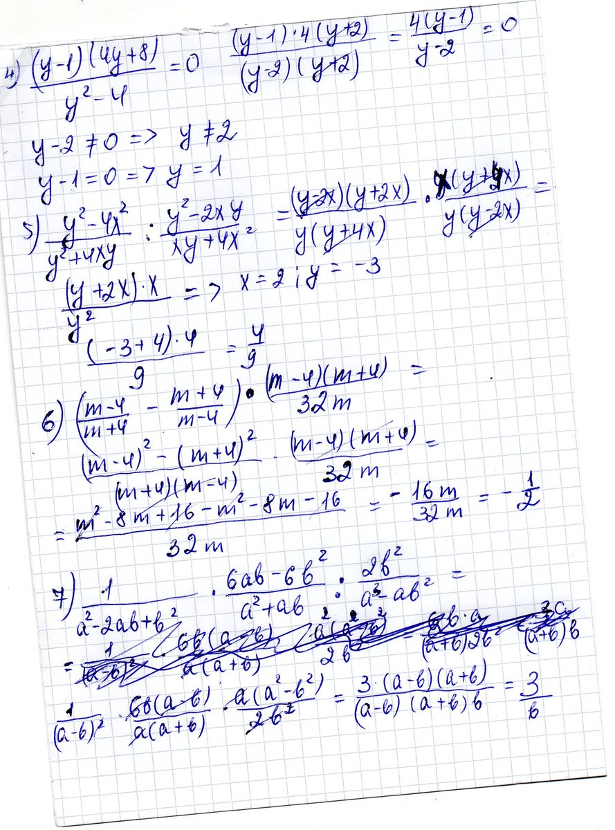
 frac{(y-1)(4y+8)}{y^2-4}=0;\ y^2-4 neq 0; y^2 neq 4; y neq ^{+}_{-}2;\ (y-1)(4y+8)=0;\ 1) y-1=0;\ y_1=1;\ 2) 4y+8=0; 4y=-8;y=-8:4; y=-2;\ y_2=-2

ответ: 1



якщо х=2, y=-3, то frac{y^2-4x^2}{y^2+4xy}:frac{y^2-2xy}{xy+4x^2}=\ frac{y^2-4x^2}{y^2+4xy}*frac{xy+4x^2}{y^2-2xy}=\ frac{(y^2-4x^2)(xy+4x^2)}{(y^2-2xy)(y^2+4xy)}=\ frac{(y-2x)(y+2x)x(y+4x)}{y(y-2x)y(y+4x)}=\ frac{(y+2x)x}{y^2}=\ frac{(-3+2*2)*2}{(-3)^2}=frac{2}{9}

 

(frac{m-4}{m+4}-frac{m+4}{m-4}):frac{32m}{m^2-16}=\ (frac{(m-4)^2}{m^2-16}-frac{(m+4)^2}{m^2-16})*frac{m^2-16}{32m}=\ frac{(m-4)^2-(m+4)^2}{m^2-16}*frac{m^2-16}{32m}=\ frac{m^2-8m+16-m^2-8m-16}{m^2-16}*frac{m^2-16}{32m}=\ frac{-16m}{m^2-16}*frac{m^2-16}{32m}=\ frac{-16m(m^2-16)}{32m(m^2-16}}=-frac{1}{2}

что и требовалось доказать

 

frac{1}{a^2-2ab+b^2}*frac{6ab-6b^2}{a^2+ab}:frac{2b^2}{a^3-ab^2}=\ frac{1}{(a-b)^2}*frac{6b(a-b)}{a(a+b)}*frac{a^3-ab^2}{2b^2}=\ frac{1*6b(a-b)(a^3-ab^2)}{(a-b)^2*a(a+b)*2b^2}=\ frac{6b(a-b)a(a^2-b^2)}{(a-b)^2*a(a+b)*2b^2}=\ frac{6b(a-b)a(a-b)(a+b)}{(a-b)^2*a(a+b)*2b^2}=\ frac{6ab(a-b)^2(a+b)}{2ab^2(a-b)^2(a+b)}=\ frac{3}{b}

Приложения:
Похожие вопросы
Предмет: Математика, автор: devocka1220