Предмет: Алгебра,
автор: Аноним
решите номер 379 желатильно на листочке
Приложения:
Ответы
Автор ответа:
0
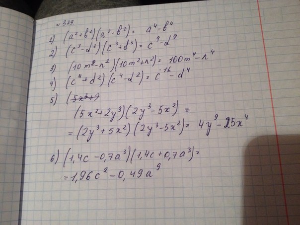
1)a^4-b^4
2)c^6-d^6
3)100m^4-n^4
4)c^8-d^4
5)4y^6-25x^4
6)1,96c^2-0,49a^6
2)c^6-d^6
3)100m^4-n^4
4)c^8-d^4
5)4y^6-25x^4
6)1,96c^2-0,49a^6
Автор ответа:
0
спс
Автор ответа:
0
вот решение)))))))))))))))
Приложения:
Автор ответа:
0
спс
Похожие вопросы
Предмет: Право,
автор: Vadimka220
Предмет: Математика,
автор: teslyukdaria
Предмет: Русский язык,
автор: lop1778
Предмет: Математика,
автор: merkurevaanna
Предмет: Химия,
автор: nastya13311